Bürgermeister- und Gemeinderatswahl
Interaktiver Probestimmzettel
Für die Kommunalwahlen am Sonntag, 08.03.2026 besteht für die Bürgerinnen und Bürger wieder die Möglichkeit, die Stimmabgabe auf einem Online-Probestimmzettel vorzunehmen.
>>> Zum Online-Probestimmzettel
Das bayerische Kommunalwahlrecht bietet im Bereich der Gemeinderatswahlen nahezu unbegrenzte Möglichkeiten der Stimmabgabe. Kumulieren und Panaschieren? Wie wirkt sich ein Listenkreuz bei einer Partei aus, wenn auch noch einzelne Kandidaten und Kandidatinnen mit Einzelstimmen angekreuzt werden? Und noch vieles mehr können Sie mit dem Online-Probestimmzettel, welcher sämtliche Parteien und Bewerberinnen und Bewerber der Gemeinde Kastl enthält, ausprobieren.
Ihre Eingaben werden selbstverständlich nicht gespeichert oder ausgelesen.
Nutzen Sie die Möglichkeit des interaktiven Online-Probestimmzettels für die Gemeinderatswahl 2026.
Für Fragen steht Ihnen das Wahlamt der Verwaltungsgemeinschaft Kemnath gerne zur Verfügung.
Veröffentlicht am: 17.02.2026
Bekanntmachung der Sitzung des Wahlausschusses zur Feststellung des abschließenden Wahlergebnisses für die Wahl der ersten Bürgermeisterin oder des ersten Bürgermeisters und des Gemeinderats
Bekanntmachung über die Form der Verkündigung des vorläufigen Wahlergebnisses für die Wahl des ersten Bürgermeisters und des Gemeinderates
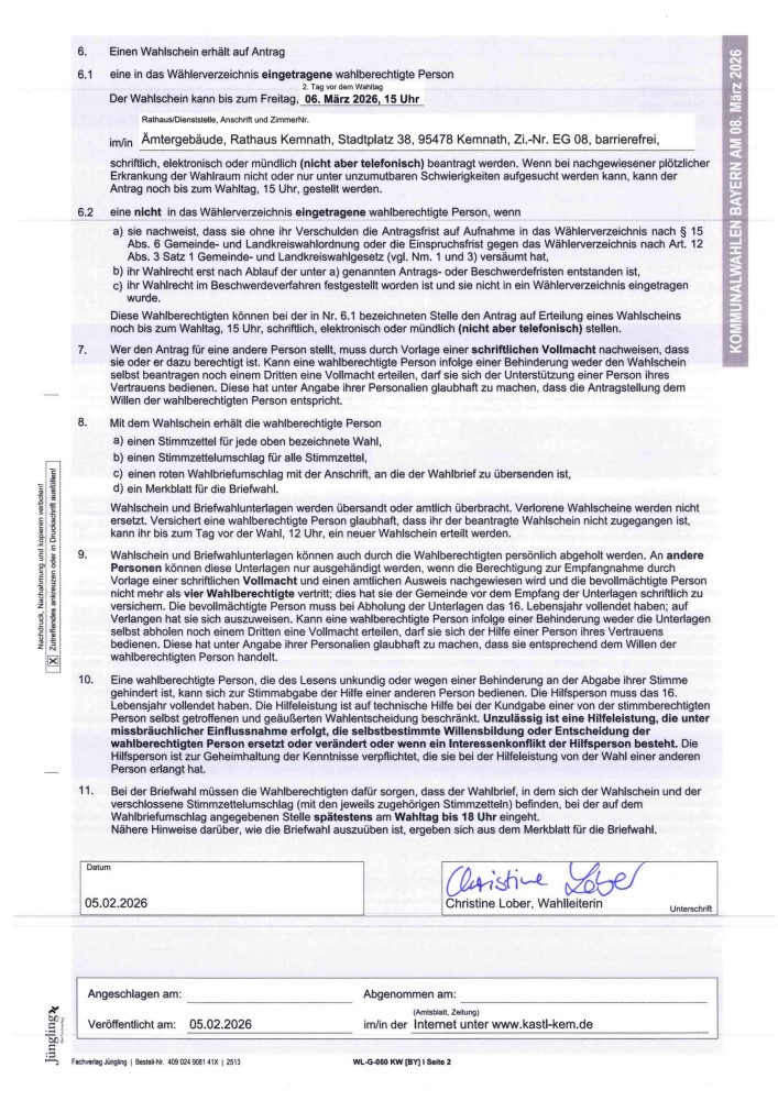
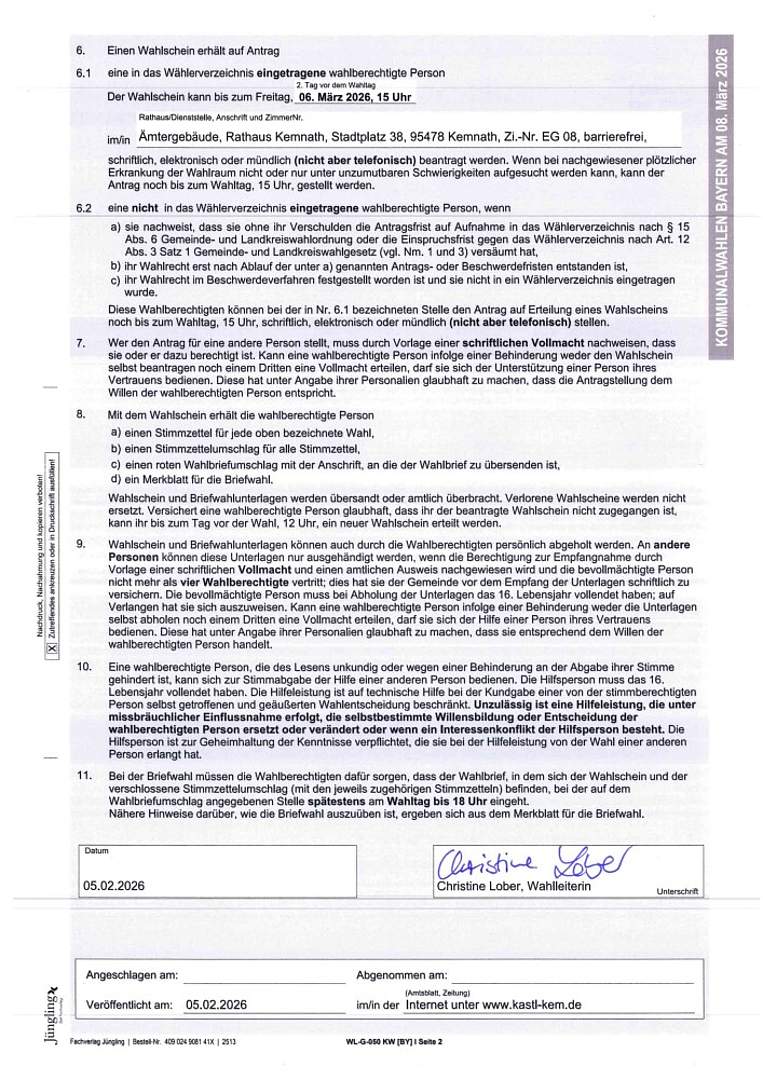
Bekanntmachung über das Recht auf Einsicht in das Wählerverzeichnis und die Erteilung von Wahlscheinen
Bekanntmachung der zugelassenen Wahlvorschläge für die Wahl der ersten Bürgermeisterin oder des ersten Bürgermeisters
Verkürzte Frist bei der Erteilung von Wahlscheinen für die Briefwahl bei der Kommunalwahl am 08.03.2026
Das Staatsministerium des Inneren, für Sport und Integration hat zur Kommunalwahl am 08.03.2026 die Frist für die Erteilung von Wahlscheinen auf den 20. Tag vor der Wahl (bisher war es der 41. Tag vor der Wahl) neu festgelegt.
Wahlscheine mit Briefwahlunterlagen dürfen somit erst deutlich später als bei bisherigen Wahlen, und zwar frühestens ab Montag, 16.02.2026, durch das Wahlamt postalisch versandt werden.
Sofern Sie sich zum Zeitpunkt des Versands im Ausland aufhalten sollten, kann das bei der Beantragung von Briefwahlunterlagen womöglich zu Problemen führen. Das Wahlamt der Verwaltungsgemeinschaft Kemnath wird Auslandspost zwar mit oberster Priorität versenden, übernimmt aufgrund der gesetzlichen Regelung aber keine Garantie für eine rechtzeitige Zustellung im Ausland. Zudem ist für die Rücksendung der Wahlunterlagen eine gewisse Postlaufzeit zu berücksichtigen. Eine Möglichkeit, im Ausland zu wählen besteht nicht.
Online können die Briefwahlunterlagen ab dem Erhalt der Wahlbenachrichtigung (das ist etwa Anfang Februar 2026), längstens aber bis Freitag, 28.02.2026, 24.00 Uhr, beantragt werden. Danach können sie nur noch persönlich im Wahlamt bzw. mit Vollmacht für eine andere Person abgeholt werden. Hintergrund ist der Umstand, dass nach diesem Termin eine rechtzeitige postalische Zustellung der Briefwahlunterlagen und deren Rücklauf u. U. nicht mehr sichergestellt ist.
Das Wahlamt bittet beim Einlegen der Stimmzettel und der Erklärung über die persönliche Kennzeichnung der Abstimmung zu beachten, dass es sich um vier getrennte Wahlen handelt. Bitte folgen Sie unbedingt den Anweisungen auf den Merkzetteln und den Beschriftungen der jeweiligen Umschläge, die Sie mit Ihren Wahlunterlagen erhalten. Falsch verpackte Wahlunterlagen können dazu führen, dass Ihre Abstimmung ungültig ist.
Ab dem 17.02.2026 bis einschließlich 06.03.2026 können die Briefwahlunterlagen zu den üblichen Öffnungszeiten persönlich abgeholt werden. Die Ausgabe findet wie immer im Wahlamt, Zi.-Nr. EG 07, statt.
Bitte bringen Sie bei der Abholung einen Ausweis und Ihre Wahlbenachrichtigung mit. Falls Sie für eine andere Person die Briefwahlunterlagen abholen möchten, so ist zwingend die Rückseite der Wahlbenachrichtigung (Vollmacht) komplett auszufüllen. Bitte beachten Sie hier vor allem die jeweils zutreffenden Unterschriften.
Stand: Dezember 2025































